N. Vilardell1, L. Rofes2, V. Arreola1, R. Speyer3,4, P. Clave´1,2,3,5
Received: 16 December 2014 / Accepted: 11 November 2015 / Published online: 25 November 2015
© Springer Science+Business Media New York 2015
N. Vilardell
1 Unitat d’Exploracions Funcionals Digestives, Department of Surgery, Hospital de Mataro´, Universitat Auto`noma de Barcelona, Carretera de Cirera s/n, 08304 Mataro´, Spain
2 Centro de Investigacio´n Biomedica en Red de Enfermedades Hepa´ticas y Digestivas (CIBERehd), Instituto de Salud Carlos III, Barcelona, Spain
3 College of Healthcare Sciences, James Cook University, Townsville, Australia
4 Leiden University Medical Centre, Leiden, The Netherlands
5 Fundacio´ Institut d’Investigacio´ en Cie`ncies de la Salut, Germans Trias i Pujol, Badalona, Spain
Abstract Thickeners are used in post-stroke oropharyn-geal dysphagia (OD) as a compensatory therapeutic strat-egy against aspirations. To compare the therapeutic effects of modified starch (MS) and xanthan gum (XG) thickeners on swallow safety and efficacy in chronic post-stroke OD patients using clinical and videofluoroscopic (VFS) assessment. Patients were studied by clinical assessment (volume-viscosity swallow test, V-VST) and VFS using 3 volumes (5, 10, 20 mL) and 3 viscosities (liquid, nectar and spoon thick), comparing MS and XG. We studied 122 patients (46MS, 76XG). (A) V-VST showed that both thickeners similarly improved safety of swallow. Preva-lence of safe swallowing significantly increased with enhanced viscosity (P < 0.001 vs liquid), MS: 47.83 % at liquid, 84.93 % at nectar and 92.96 % at spoon thick; XG: 55.31 % at liquid, 77.78 % at nectar and 97.84 % at spoon thick. Patients on MS reported higher prevalence of pha-ryngeal residue at spoon-thick viscosities. (B) VFS: increasing bolus viscosity with either thickener increased prevalence of safe swallows (P < 0.001 vs liquid), MS: 30.25 % liquid, 61.07 % nectar and 92.64 % spoon thick; XG: 29.12 % liquid, 71.30 % nectar and 89.91 % spoon thick. Penetration–aspiration scale score was significantly reduced with increased viscosity with both thickeners. MS increased oral and pharyngeal residues at nectar and spoon-thick viscosities but XG did not. Timing of airway pro-tection mechanisms and bolus velocity were not affected by either thickener. Increasing bolus viscosity with MS and XG thickeners strongly and similarly improved safety of swallow in chronic post-stroke OD by a compensatory mechanism; in contrast only MS thickeners increased oropharyngeal residue.
Keywords: Deglutition Deglutition disorders Therapy Viscosity Rheology
Introduction
Oropharyngeal dysphagia (OD) is a major complaint fol-lowing stroke. A systematic review found that bedside screening techniques identified the lowest prevalence of OD following acute stroke (37–45 %), clinical tests iden-tified more (51–55 %), and instrumental testing identified the highest prevalence (64–78 %) [1]. Stroke patients may recover from OD during the first weeks but it persists in as many as 50 % of patients and complications frequently arise [2]. Stroke patients can present impairments in swallowing efficacy causing malnutrition or dehydration in up to 25 % patients [3], impaired safety of swallow with penetration in up to 40 %, and aspiration in up to 21 % [4]. Aspirations may lead to pneumonia (aspiration pneumonia, AP) associated with high mortality rates [1, 5–7].
Diet modification such as increase in bolus viscosity using thickeners is a common strategy for post-stroke OD.
The level of evidence of this therapeutic strategy has been criticized as the number of papers is small and method-ologies diverse [8]. Increased bolus viscosity is associated with increased safety of swallow in patients with OD associated with neurological diseases or ageing [4, 9–11] and reduced mid-term pneumonia episodes [12]. On the other hand, increasing viscosity may impair efficacy of swallow by increasing prevalence of oropharyngeal residue [4] and the effect of thickeners on the physiology of swallow response is not fully understood [4, 13]. A recent review also identified these two key effects with respect to thickened liquids and swallowing [14].
Thickeners are agents with the capacity to bind water. Modified starch (MS) granules are carbohydrate polymers composed of amylose and amylopectin which can absorb water and swell, resulting in an increase of fluid viscosity. MS thickeners present some limitations in taste, viscosity stability and solubility. The resulting solutions are described as having a starchy taste and grainy texture and increase viscosity over time due to continuous water absorption and hydrolysis caused by contact with amylase in the saliva [15, 16]. A new generation of gum-based thickeners has recently been developed. Xanthan gum (XG) molecules become entangled, creating new networks through a quick and stable process. In contrast with MS, XG has a better taste and a stable viscosity over time and is not affected by amylase [16–18]. Two recently published studies suggest that XG-thickened liquids could present therapeutic advantages over MS-thickened liquids [10, 19]. However, data comparing the effects of both groups of thickeners on swallowing function and their therapeutic outcomes are limited.
The aim of this study was to compare the therapeutic effects of two types of thickeners, MS and XG, in patients with chronic post-stroke OD. This was done by evaluating both clinical and videofluoroscopic signs and exploring the specific mechanisms of action of each thickener on swal-low physiology.
Materials and Methods
Study Design and Population
We performed a retrospective study on patients with chronic OD as a consequence of a previous stroke episode ([3 months) who were referred for swallowing evaluation to the Gastrointestinal Physiology Laboratory of the Hospital de Mataro´ (Spain). The study population was divided in two groups. The first group included patients studied between January 2012 and April 2013 who received MS thickener during the clinical and VFS assessment. The second group included patients who were screened during the period from June 2010 to October 2011 with XG as a thickener during assessment. Both groups were treated the same way except for the type of thickener.
Data Collected
Clinical records of all post-stroke patients were reviewed and demographic and clinical data were retrospectively summarized and collected by the same investigator. These included days from stroke to the date of the assessment, type (ischemic or hemorrhagic) and localization (right or left hemisphere) of the stroke, functional capacity (Barthel Index) and comorbidities (Charlson Index). Swallowing symptoms measured with the Eating Assessment Test-10 (EAT-10) and nutritional status according to the body mass index (BMI) (kg/m2) and the Mini Nutritional Assessment short form (MNA-sf) were collected by the same clinicians during the swallowing assessment visit. Both clinical test (V-VST) and VFS studies were performed by the same dysphagia team, using the same clinical and instrumental protocols and equipment. All the swallowing assessment tests were analysed by the same dysphagia team.
Experimental Design
To assess the effect of two types of thickeners on efficacy and safety of swallowing, the results of the clinical vol-ume-viscosity swallow test (V-VST), and the videofluoro-scopic (VFS) exploration were taken into account. In addition, the effect of both thickeners on the physiology of swallow response was assessed using VFS.
Clinical Assessment
The V-VST is a clinical assessment method that uses swal-low boluses of different volumes (5, 10 and 20 mL) and viscosities (thin liquid, nectar-like and spoon thick). The test allows safety and efficacy to be measured with the minimum risk for the patient, following the methodology previously described. Clinical signs of OD—Signs and symptoms of impaired efficacy of swallow—Signs of impaired efficacy of swallow: the presence of oral residue (part of the bolus remaining in the oral cavity after swallow), efficiency of labial seal (ability to maintain the whole bolus in the oral cavity during the preparatory phase of swallow) and frac-tional swallow (multiple swallows per bolus), were evalu-ated for each swallow. The symptom of impaired efficacy of swallow, pharyngeal residue, was detected by asking patients if something felt stuck or remained in the throat after each swallow. Signs of impaired safety of swallow changes in voice quality (including wet voice), cough and decrease in oxygen saturation C3 % from the basal level (measured with a finger pulse-oximeter, Nellcor OxiMax, Philips Medical Systems, Eindhoven, Netherlands) were also evaluated for each bolus [20].
Videofluoroscopy Study
For the VFS study, all patients were imaged seated, in a lateral projection which included the oral cavity, pharynx, larynx and cervical oesophagus. The same bolus volumes and viscosities were used as for the clinical test, following the algorithm also described in previous studies [20]. VFS signs of impairments in the efficacy of swallow were the presence of oral and/or pharyngeal residue, the latter in the vallecular and/or the pyriform sinus. VFS Signs of impaired safety of swallow were ones in which a penetration or an aspiration was detected [20] and the safety of each swallow was rated according to the penetration–aspiration scale (PAS) [21]. Penetration was defined as material passing into the laryngeal vestibule but not below the vocal folds (PAS score 2–5) and aspiration was defined as material passing below the level of the vocal folds (PAS score 6–8) [21].
Oropharyngeal Swallow Response
Quantitative measurements of the effect of each bolus on oropharyngeal swallow response were obtained during 5 mL boluses at each viscosity during the VFS study. Glossopalatal junction (GPJ) opening was given the time value 0 and the time interval in ms from GPJ opening to laryngeal vestibule (LV) closure was the main physiolog-ical parameter used to measure impaired airway protection [7]. Bolus propulsion was assessed by measuring the final velocity (m s-1) acquired by the bolus in the segment between the GPJ and the upper esophageal sphincter (UES). Final bolus velocity was calculated for each 5 mL bolus as: bolus acceleration (m/s2) by UES opening time (ms), where acceleration is calculated as twice the distance from GPJ to UES (mm) divided by UES opening time squared, as described in our previous studies [3, 4].
Bolus Preparation
For each thickener, three different viscosities (thin liquid, nectar, and spoon thick) were used during V-VST and VFS, according to the viscosity ranges of the National Dysphagia Diet Task Force which are 1–50 mPa s for thin liquids, 51–350 mPa s for nectar, and [1750 mPa s for spoon thick, measured at 25 LC and at a shear rate of 50 s-1 as previously described [23].
(a) MS (Resource ThickenUp , Nestle´ Health Science, Vevey, Switzerland). For V-VST boluses with MS, thin liquid viscosity was obtained by using mineral water at room temperature, nectar viscosity by adding 4.5 g/ 100 mL MS and spoon-thick viscosity by adding 9 g/100 mL [22]. The VFS solutions for MS were obtained by mixing 1:1 mineral water and the X-ray contrast Gastrografin (Bayer Hispania SL, Sant Joan Despı´, Spain) at room temperature. Thin liquid was obtained by mixing 1:1 mineral water and the X-ray contrast, nectar viscosity by adding 3.5 g/100 mL MS and spoon-thick viscosity by adding 8 g/100 mL [4]. Solutions were prepared 5 min before starting the V-VST and 10 min before the VFS. All were carefully administered with a syringe.
(b) XG (Resource ThickenUp Clear , Nestle´ Health Science, Lausanne, Switzerland). For V-VST studies with XG, thin liquid viscosity was obtained by using mineral water at room temperature, nectar viscosity by adding 1.2 g/100 mL XG and spoon-thick viscos-ity by adding 6 g/100 mL [10, 18, 20]. The VFS solutions were obtained by mixing 1:1 mineral water and the X-ray contrast Gastrografin at room tem-perature. Thin liquid was obtained by mixing 1:1 mineral water and the X-ray contrast, nectar viscosity by adding 2.4 g/100 mL XG and spoon-thick viscos-ity by adding 5.4 g/100 mL [10, 18]. The solutions with XG thickener were prepared 5 min before starting the V-VST and 3 h prior to the VFS in order to obtain an equivalent viscosity to MS boluses as previously described [10, 18]. Boluses were carefully administered with a syringe.
Data Analysis and Statistical Methods
Quantitative parameters were described as mean ± stan-dard deviation (SD) and comparisons were assessed by the non-parametric Kruskal–Wallis and Mann–Whitney tests. Qualitative parameters were described by relative and absolute frequencies. Prevalence of clinical and VFS signs was reported as the ratio between the number of each clinical or VFS sign divided by the total number of swal-lows at each bolus type (any particular volume/viscosity). Prevalence of safe swallows was described as the number of patients without any sign of impaired safety of swallow divided by the total number of patients who swallowed the bolus. To assess the therapeutic effect of both thickeners, two measurements were made: (a) Prevalence of clinical and VFS signs observed in each bolus volume was com-pared between viscosities (for example, 5 mL nectar compared with 5 mL thin liquid) and represented in Figs. 1, 2, 4, 5; (b) Prevalence of signs observed in all volumes together (5, 10 and 20 mL) were compared between viscosities (for example, all nectar boluses com-pared with all liquid boluses) and results from these com-parisons were explained in results section. The effect on safety and efficacy of deglutition of increasing bolus vis-cosity was assessed by Fisher’s test. Measurements of the effect of each bolus on oropharyngeal swallow response were calculated during 5 mL swallows of each viscosity during the VFS study. P values \0.05 were considered statistically significant.
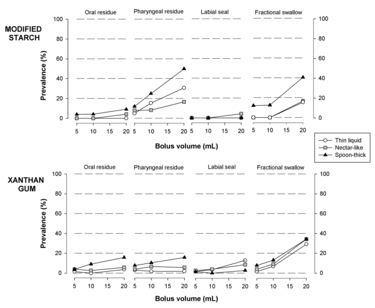
Fig. 1
Prevalence of post-stroke OD patients with clinical signs and symptoms of impaired efficacy (V-VST) of swallow for each volume, viscosity and thickener. No significant differences were found in any of the conditions tested

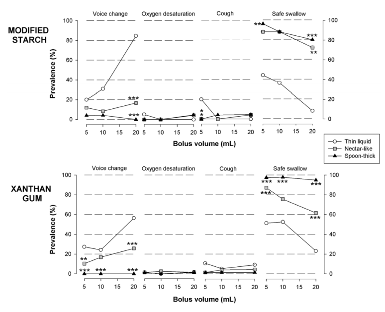
Fig. 2
Prevalence of post-stroke OD patients with clinical signs of impaired safety (V-VST) of swallow and prevalence of safe swallow for each volume, viscosity and thickener. **P \ 0.01,
***P \ 0.001 versus thin liquid

Results
Study Population
We included 122 patients (75.13 ± 9.97 years, 59.8 % male) with a previous stroke episode who were screened for chronic OD. MS was used as thickening agent on 46 patients and XG on 76 patients. Demographic and clin-ical data are shown in Table 1. Differences were detec-ted regarding the time from stroke episode to the screening visit date, which was shorter in the MS group, and the EAT-10 and MNA-sf questionnaire scores, which showed that patients in the XG group reported more clinical complaints of OD and presented poorer nutritional status.
Effect of Thickeners on Clinical OD Signs During the V-VST
Clinical Signs of Impaired Efficacy of Swallow
Prevalence of clinical V-VST signs of impaired efficacy of swallow in OD patients for each thickener, volume and viscosity are shown in Fig. 1. Main clinical signs of impaired efficacy in stroke patients were fractional swallow and oropharyngeal residue. Modified starch thickener The prevalence of pharyngeal residue increased with viscosity from 10.96 % at nectar to 28.17 % at spoon-thick viscosity (P < 0.05) vs nectar). Prevalence of fractional swallow also increased with viscosity from 4.35 % at thin liquid to 5.48 % at nectar and up to 21.13 % at spoon-thick viscosity (P < 0.05 vs thin liquid; P < 0.01 vs nectar). Xanthan gum thickener Prevalence of pharyngeal residue increased with viscosity from 2.23 % at thin liquid to 5.33 % at nectar and 11.26 % at spoon-thick viscosity (P < 0.001 vs thin liquid; P < 0.05 vs nectar). Prevalence of fractional swallow increased from 10.06 % at thin liquid to 18.18 % at spoon-thick viscosity (P < 0.05).
Patients included in the MS group presented higher prevalence of pharyngeal residue symptoms at thin liquid (P < 0.01) and spoon-thick (P < 0.01) viscosities com-pared with XG group.
Table 1
Demographic, clinical and nutritional patient characteristics plus level of significance (P) for group differences (modified starch versus xanthan gum)
|
|
Modified starch group |
Xanthan gum group |
P value |
|
|
|
|
|
|
Subjects |
46 |
76 |
|
|
Sex (% men) |
65.22 |
56,58 |
0.446 |
|
Age (years) |
75.63 ± 8.40 |
74.83 ± 10.86 |
0.952 |
|
Time from stroke episode to evaluation visit (months) |
7.45 ± 8.97 |
27.32 ± 72.04 |
0.0001 |
|
Barthel index |
83.26 ± 22.64 |
72.92 ± 26.32 |
0.160 |
|
Charlson index |
3.28 ± 1.34 |
3.76 ± 1.58 |
0.077 |
|
0 |
0 % (0) |
0 % (0) |
|
|
1–2 |
26.09 % (12) |
25.00 % (19) |
|
|
3–4 |
60.87 % (28) |
40.79 % (31) |
|
|
C5 |
13.04 % (6) |
34.21 % (26) |
|
|
Nutritional status (MNA-SF) |
11.78 ± 2.08 |
9.47 ± 2.60 |
\0.0001 |
|
Malnourished (0–7) |
6.67 % (3) |
22.37 % (17) |
|
|
At risk (8–11) |
26.67 % (12) |
53.95 % (41) |
|
|
Well nourished (12–14) |
66.67 % (30) |
23.68 % (18) |
|
|
Nutritional status (BMI) |
27.59 ± 4.60 |
26.97 ± 4.13 |
0.605 |
|
\18.5 kg/m2 (underweight) |
0 % (0) |
2.63 % (2) |
|
|
18.5–24.9 kg/m2 (normal weight) |
33.33 % (15) |
25.00 % (19) |
|
|
[25.0 kg/m2 (overweight) |
66.67 % (30) |
72.37 % (55) |
|
|
Swallowing symptoms (EAT-10) |
4.82 ± 5.58 |
12.34 ± 10.37 |
\0.0001 |
|
EAT-10 \ 2 |
33.33 % (15) |
15.63 % (10) |
|
|
EAT-10 C 2 |
66.67 % (30) |
84.37 % (54) |
|
|
Type of stroke |
|
|
0.428 |
|
Ischemic |
42.35 % (36) |
68.42 % (52) |
|
|
Hemorrhagic |
5.88 % (5) |
15.79 % (12) |
|
|
Not specified |
5.88 % (5) |
15.79 % (12) |
|
|
Stroke lateralization |
|
|
0.366 |
|
Right hemisphere |
21.74 % (10) |
34.20 % (26) |
|
|
Left hemisphere |
45.65 % (21) |
43.42 % (33) |
|
|
Not specified |
32.61 % (15) |
22.37 % (17) |
|
MNA-sf Mini Nutritional Assessment short form, BMI body mass index, EAT-10 Eating Assessment Tool-10
Clinical Signs of Impaired Safety of Swallow
Prevalence of clinical V-VST signs of impaired safety of swallow in post-stroke OD patients considering each thickener, volume and viscosity are shown in Fig. 2. Voice changes after swallow were the most prevalent clinical sign. Modified starch thickener Prevalence of patients with safe swallow increased with viscosity. Prevalence of safe swallow was 47.83 % at thin liquid, 84.93 % at nectar (P < 0.001 vs thin liquid) and up to 92.96 % (P < 0.001 vs thin liquid) at spoon-thick viscosity. Increasing bolus viscosity to nectar and to spoon-thick viscosities with MS thickeners significantly reduced voice changes after deglutition. Xanthan gum thickener XG thickeners also strongly increased the safety of swallow. Prevalence of safe swallow was 55.31 % at thin liquid, 77.78 % at nectar (P < 0.001 vs thin liquid) and increased to 97.84 % (P < 0.001 vs thin liquid; P < 0.001 vs nectar) at spoon-thick viscosity.
XG thickeners significantly reduced the prevalence of voice changes and cough after deglutition at nectar and spoon-thick viscosities. Both thickeners presented similar therapeutic capacity to clinically improve safety of swallow. Figure 3
Fig. 3
Prevalence of post-stroke patients with safe swallowing in V-VST and VFS with respect to bolus viscosity

Effect of Thickeners on VFS Signs
VFS Signs of Impaired Efficacy of Swallow
Prevalence of clinical VFS signs of impaired efficacy of swallow in OD patients considering each thickener, volume and viscosity are shown in Fig. 4. The main signs of impaired efficacy of swallow were the presence of oropharyngeal residue and fractional swallow. Modified starch thickener Prevalence of oral residue ranged from 24.16 % at thin liquid to 24.06 % at nectar and 28.47 % at spoon thick. Impaired labial seal remained practically undetected for all the viscosities (P > 0.05). However, prevalence of pharyngeal residue increased with viscosity from 25.0 % at thin liquid to 33.83 % at nectar and up to 51.83 % at spoon-thick viscosity (P < 0.001 vs thin liquid; P < 0.01 vs nectar). Fractional swallow also increased with viscosity, from 17.50 % at thin liquid to 18.80 % at nectar and 29.20 % at spoon-thick viscosity (P < 0.05 vs thin liquid; P < 0.05 vs nectar). Xanthan gum thickener In contrast to MS thickeners, the prevalence of pharyngeal residue or fractional swallow did not increase at any of the viscosities tested with XG. Prevalence of pharyngeal residue reached around 9 % at thin liquid, nectar and spoon-thick viscosities while fractional swallow remained at 25.27 % at liquid, 23.32 % at nectar and 24.56 % at spoon thick (P > 0.05). Moreover, increasing bolus viscosity to spoon thick reduced the prevalence of labial seal impairments from 3.85 % at thin liquid to 0 % at spoon-thick viscosity (P < 0.001 vs thin liquid). Prevalence of oral residue significantly increased from 8.79 % at thin liquid to 17.10 % at spoon-thick viscosity (P < 0.05 vs thin liquid).
MS thickener showed significant higher prevalence of oral and pharyngeal residue at thin liquid-, nectar- and spoon-thick viscosities in comparison with XG. However, higher prevalence in labial seal impairments was detected in the XG group at liquid and nectar viscosities.
VFS Signs of Impaired Safety of Swallow
Prevalence of VFS signs of impaired safety of swallow in stroke patients with OD considering each thickener, volume and viscosity are represented in Fig. 5. Modified starch thickener Prevalence of patients with safe swallow (without penetrations and/or aspirations) increased from 30.25 % at thin liquid series to 61.07 % at nectar (P < 0.001 vs thin liquid) and up to 92.54 % at spoon thick (P < 0.001 vs thin liquid). Xanthan gum thickener Prevalence of patients with safe swallow increased from 29.12 % at liquid viscosity series, to 71.30 % (P < 0.001 vs liquid) at nectar viscosity and to 89.91 % (P < 0.001 vs thin liquid) at spoon-thick viscosity series. PAS score for each thickener and viscosity are shown in Fig. 6. For both thickeners, prevalence of swallows with clinically relevant penetrations (PAS scores from 3 to 5) and aspirations (PAS scores from 6 to 8) decreased significantly as bolus viscosity increased. For MS thickener, the prevalence was reduced from 69.05 % at thin liquid to 44.0 % at nectar (P < 0.05 vs thin liquid) and to 11.11 % at spoon thick (P < 0.001 vs thin liquid; P < 0.01 vs nectar) and for XG thickener, the prevalence was reduced from 50.0 % at thin liquid to 19.48 % at nectar (P < 0.001 vs thin liquid) and 11.69 % at spoon thick (P < 0.001 vs thin liquid).
Comparing both thickeners, the level of protection achieved at spoon-thick viscosity was similar, but the XG thickener offered a greater therapeutic effect at nectar viscosity (P < 0.01 vs MS).
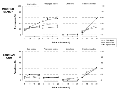
Fig. 4
Prevalence of post-stroke OD patients with VFS signs of impaired efficacy of swallow for each volume, viscosity and thickener.
*P \ 0.05, **P \ 0.01 versus thin liquid

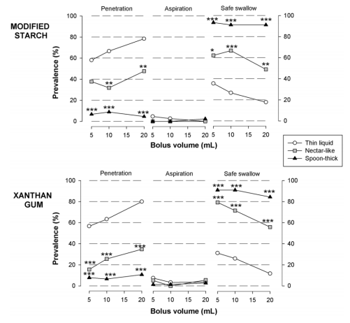
Fig. 5
Prevalence of post-stroke OD patients with VFS signs of impaired safety of swallow for each volume, viscosity and thickener.
*P \ 0.05, **P \ 0.01, ***P \ 0.001 versus thin liquid

Effect of Thickeners on Oropharyngeal Physiology
Timing of Swallow Response
Modified starch thickener Total duration of swallow response (time from GPJ opening to LV opening) at 5-mL thin liquid boluses was 998.14 ± 187.81 ms and was not affected by increasing bolus viscosity to nectar (1022.61 ± 183.14 ms) or spoon-thick viscosities (983.48 ± 181.96 ms) (P > 0.05 vs thin liquid). Time of airway closure (LV closure) using MS was 413.02 ± 132.30 ms at thin liquid, 416.52 ± 130.25 ms at nectar and 400.0 ± 166.96 ms at spoon-thick viscosity. No significant differences were found (P > 0.05 vs liquid). Xanthan gum thickener Patients on XG presented a LV opening time of 952.0 ± 187.51 ms at thin liquid, also not modified with viscosity: 955.26 ± 174.41 ms at nectar and 965.33 ± 234.47 ms at spoon-thick vis-cosity (P > 0.05 vs liquid). Time of LV closure of patients on XG did not present significant differences as viscosity increased: LV closure time was 365.6 ± 139.5 ms during 5-mL thin liquid swallows, 347.9 ± 107.3 ms during 5 mL nectar swallows and 371.9 ± 185.5 ms at 5 mL spoon-thick swallows (P > 0.05).
Bolus Kinematics
Modified starch thickener In the MS group, the final velocity of 5-mL thin liquid bolus (0.52 ± 0.20 m/s) was not significantly modified at nectar (0.45 ± 0.18 m/s) nor spoon-thick viscosity (0.47 ± 0.19 m/s) (P > 0.05). Xan-than gum thickener The final velocity in the XG group was neither affected as bolus viscosity increased: bolus velocity was 0.55 ± 0.20 m/s at thin liquid, 0.51 ± 0.20 m/s at nectar viscosity and 0.49 ± 0.21 m/s at spoon-thick vis-cosity. No significant differences were detected in the final bolus velocity between thickeners comparing all the vis-cosities tested (P > 0.05).
Fig. 6
Prevalence of penetration–aspiration scale scores for each thickener and viscosity

Discussion
The main result of this comparative study is that thickening liquids with both agents (MS and XG) present a strong therapeutic effect on safety of swallow in chronic post-stroke OD patients. The prevalence of safe swallow using MS and XG thickeners increased with bolus viscosity reaching up to 89–92 % of patients with post-stroke OD at spoon-thick viscosity. Regarding this effect, our results agree with a recent review [14] and several previous studies from our group that reported that increasing bolus viscosity using thickeners greatly improved safety of swallow. We also found that this therapeutic effect of thickeners is a purely compensatory mechanism without any major change on the timing of swallow response [11, 24–26].
In this study, swallowing function was assessed by a trained dysphagia team by means of a clinical test (V-VST) and VFS, the latter considered the gold standard to assess swallowing function and physiology [7]. Although reliability was not specifically assessed in this study, internal controls from our unit found high inter-rater reliability of the PAS score for identification of aspiration and assess-ment (j = 0.7051). In addition, good intra-rater (0.9) and interrater (0.9) reliability have been previously reported for the laryngeal vestibule closure time, the main quantitative variable of our study, using the same equipment and methodology than that used in our study. This coincided with previous results reporting a similar reliability when the VFS analysis was performed by trained clinicians, as it was in this study [27, 28]. For the clinical and VFS studies, both MS- and XG-thickened boluses were prepared according to their specific methodology in order to obtain similar viscosity levels. It should be emphasized that to achieve the proper viscosities needed for the VFS, XG boluses were prepared 3 h before starting the test [18].
Regarding efficacy of swallow, the most common signs shown by chronic post-stroke patients were pharyngeal residue and fractional swallow. When evaluated by VFS, increased prevalence of pharyngeal residue and fractional swallow with viscosity were only confirmed with the MS thickener. Previous VFS studies also described increased prevalence of pharyngeal residue associated with increased bolus viscosity obtained with a MS thickener [4, 29, 30]. A recent systematic review mainly considering studies with MS thickeners also highlighted this negative side-effect of thickeners [14]. However, we have seen that the prevalence of pharyngeal residue seems also to be dependent on the composition of the thickening agent used. In the VFS assessment, we observed that the XG thickener did not increase the prevalence of pharyngeal residue despite reporting it in the clinical test. This point gives XG a therapeutic advantage versus MS thickeners, as pharyngeal residue puts patients at risk of post-swallow aspirations when swallow is finished and respiration is resumed [31]. The differences between the reporting of pharyngeal residue in the clinical test and the lack of residue in the VFS study could be attributed to impaired pharyngeal sensitivity presented by most post-stroke patients with OD [32], leading to possible misreporting of pharyngeal residue in the clinical test.
XG thickener improved efficacy of swallow more than MS despite patients in the XG group having worse nutritional status and swallowing complaints. We expected that patients with weakened oropharyngeal musculature would present more difficulties in moving thick boluses, with an increased likelihood of post-swallow residue. Contrary to this hypothesis, patients in the XG group did not present any increase in pharyngeal residue with the thick boluses compared to thin liquid in the VFS study, highlighting again the advantage of XG thickener. This different behaviour observed between both thickeners can in part be explained by the different intrinsic properties of the fluids. While the fluids obtained with both thickeners presented the same levels of viscosity at 50 s-1 (which is thought to be a mean oral shear rate), as non-Newtonian fluids their viscosity varies with the force applied [18]. This means that tongue force may play a critical role in changing the shear rate and, depending on how vigorously the bolus moves through the mouth and into the pharynx, the real viscosity of the fluid in the pharyngeal cavity might significantly change. Bolus propulsion forces have been reported to vary depending on sensory properties of the bolus [29, 33], so the difference in taste and texture between the thickeners could induce changes in bolus propulsion forces, which in turn could induce changes in real viscosities of fluids during swallow. Another possible explanation for the effect of the thickeners is that, from the rheological point of view, thickened fluids are classified as complex fluids which cannot be adequately described by single values of viscosity [19]. Therefore, several rheo-logical bolus proprieties such as hardness, gumminess, adhesiveness, cohesiveness and chewiness may also play an important role in swallow physiology. A study identified some food textures with higher risk of aspiration in post-stroke OD patients and described that semisolid foods with high risk of aspiration presented higher gumminess, higher hardness and adhesiveness, and lower cohesiveness than those not aspirated [34]. Whatever the case, the influence of these intrinsic bolus proprieties on safety and efficacy of swallow needs further research.
Regarding the safety of swallow, similar effects were registered for both thickeners in the clinical test: a strong and significant increase in safe swallowing as bolus vis-cosity increased shown by the reduction in the prevalence of voice changes. These results were confirmed in the VFS study: both thickeners showed a significant reduction in the prevalence of unsafe swallows as viscosity increased, which was linked with a significant reduction in PAS score. These results correlate with results of previous studies that highlight the compensatory effect of thickeners in improving swallow safety [4, 10, 35, 36]. Maximum ther-apeutic effects and similar levels of protection were obtained at the highest viscosities of MS and XG. How-ever, at nectar viscosity, the levels of protection obtained with XG were higher than the ones obtained with MS. This result agrees with the study of Leonard et al. who suggested that XG thickeners present higher rates of protection of the safety of swallow than MS thickeners. In this study, the involvement of different MS and XG thickener’s rheolog-ical properties were considered and hypothesized to play a role in safety of swallow [19]. To achieve high levels of protection with intermediate or low viscosity levels is a relevant point in terms of treatment compliance, as the lower the viscosity, the greater the patient acceptance [15]. Another important aspect related to thickener compliance is to ensure an adequate level of hydration. Highly thick-ened liquids have been shown to reduce patient’s daily total fluid intake with the consequent risk of severe dehydration [37, 38]. This point emphasizes the importance of main-taining a proper level of safety with the minimum amount of thickener possible.
To study the mechanism of action of both thickeners during the VFS study, the timing of swallow response and bolus kinematics were analysed. Post-stroke patients included in the study presented a delayed total swallow response in comparison with timing previously described in healthy volunteers [4]. In contrast to data reviewed by Steele et al. concluding that thickened liquids increase the duration of swallowing events and transit time measurements [14], we found that increasing bolus vis-cosity with either thickener did not change total duration of swallow response (LV opening time), nor the time of air-way protection (LV closure time). So, the impaired phys-iology of swallow in post-stroke OD is not affected by viscosity and we can conclude that thickeners act through a compensatory mechanism. A trend was detected in the reduction of bolus velocity with the increase of viscosity. A reduction in the bolus velocity through the pharynx has been commonly accepted as the mechanism of action of thickeners [11]. However, in our study, we did not observe any significant effect on bolus velocity to explain the strong therapeutic effect of both thickeners. So, intrinsic bolus properties may play an important role in increasing safety of swallow in thickened liquids without any changes in bolus velocity or the timing of swallow response. It has been previously described that a moderate level of vis-cosity improves airway protection without modifying bolus velocity or swallow response timing [4, 10].
The main limitation of our study comes from its retro-spective design that led to some differences in the basal status between the groups studied. Patients screened using XG thickener were chronic post-stoke patients, with a worse basal situation related to swallow symptoms and nutritional status compared to the MS group. However, as mentioned above, despite the worse status of patients, the XG thickener presented better results than the MS thickener. A prospec-tive study evaluating both thickeners in two matching groups should be performed to confirm these results.
Moreover, we should take into account that bolus velocity was indirectly measured using the VFS images. Measurement of bolus flow using other technologies, for instance, automatic impedance manometry, could add new information on the effects of thickeners on bolus flow. In the study of Leonard et al., the authors reported similar results to ours regarding the safety of swallow, but they do not offer any information related to the effect of both thickeners on the efficacy of swallow neither their effects on swallow physiology. As we have shown, these aspects are important and need investigation. Future studies should be prospective, the effect of both thickeners should be assessed on the same patients, and rheological properties should be measured with the same method and equipment.
Studies have found that the swallow response can be improved by bolus supplementation with agonists of the transient receptor potential (TRP) channels such as acid [36], menthol [39], piperine [40, 41] and capsaicin [30]. Therefore, future research in the development of new OD treatment strategies should combine the demonstrated intrinsic effect of XG thickeners with these active substances.
Acknowledgments We would like to thank our patients for their cooperation and all the members of the Dysphagia Team and the X-ray Department of the Hospital de Mataro´, Nestle´ Health Science and Nestle´ Research Center who have participated in this study. We also thank Jane Lewis for English correction.
Funding This study was supported by Grants from Fundacio´ La Marato´ de TV3 and Nestle´ Health Science.
Compliance with Ethical Standards
Conflict of interest The company that partially financed the study had no influence on or involvement in the results or the writing of the article.
References
1. Martino R, Foley N, Bhogal S, Diamant N, Speechley M, Teasell R.Dysphagia after stroke: incidence, diagnosis, and pulmonary complications. Stroke. 2005;36:2756–63.
2. Mann G, Hankey GJ, Cameron D. Swallowing function after stroke: prognosis and prognostic factors at 6 months. Stroke. 1999;30:744–8.
3. Rofes L, Arreola V, Romea M, Palomera E, Almirall J, Cabre´ M, Serra-Prat M, Clave´ P. Pathophysiology of oropharyngeal dyspha-gia in the frail elderly. Neurogastroenterol. Motil. 2010;22:851–8.
4. Clave P, de Kraa M, Arreola V, Girvent M, Farre´ R, Palomera E, Serra-Prat M. The effect of bolus viscosity on swallowing func-tion in neurogenic dysphagia. Aliment Pharmacol Ther. 2006;24:1385–94.
5. Hilker R, Poetter C, Findeisen N, Sobesky J, Jacobs A, Neveling M, Heiss WD. Nosocomial pneumonia after acute stroke: implications for neurological intensive care medicine. Stroke. 2003;34:975–81.
6. Ickenstein GW, Stein J, Ambrosi D, Goldstein R, Horn M, Bogdahn U. Predictors of survival after severe dysphagic stroke.J Neurol. 2005;252:1510–6.
7. Cook IJ, Kahrilas PJ. AGA technical review on management of oropharyngeal dysphagia. Gastroenterology. 1999;116:455–78.
8. Speyer R, Baijens L, Heijnen M, Zwijnenberg I. Effects of therapy in oropharyngeal dysphagia by speech and language therapists: a systematic review. Dysphagia. 2010;25:40–65.
9. Kuhlemeier KV, Palmer JB, Rosenberg D. Effect of liquid bolus consistency and delivery method on aspiration and pharyngeal retention in dysphagia patients. Dysphagia. 2001;16:119–22.
10. Rofes L, Arreola V, Mukherjee R, Swanson J, Clave P. The effects of a xanthan gum-based thickener on the swallowing function of patients with dysphagia. Aliment Pharmacol Ther. 2014;39:1169–79.
11. Dantas RO, Kern MK, Massey BT, Dodds WJ, Kahrilas PJ, Brasseur JG, Cook IJ, Lang IM. Effect of swallowed bolus variables on oral and pharyngeal phases of swallowing. Am J Physiol. 1990;258:G675–81.
12. Groher ME. Bolus management and aspiration pneumonia in patients with pseudobulbar dysphagia. Dysphagia. 1987;1:215–6.
13. Bhattacharyya N, Kotz T, Shapiro J. The effect of bolus consis-tency on dysphagia in unilateral vocal cord paralysis. Otolaryngol Head Neck Surg. 2003;129:632–6.
14. Steele CM, Alsanei WA, Ayanikalath S, Barbon CE, Chen J, Cichero JA, Coutts K, Dantas RO, Duivestein J, Giosa L, Hanson B, Lam P, Lecko C, Leigh C, Nagy A, Namasivayam AM, Nascimento WV, Odendaal I, Smith CH, Wang H. The influence of food texture and liquid consistency modification on swallow-ing physiology and function: a systematic review. Dysphagia. 2015;30:2–26.
15. Matta Z, Chambers E, Garcia JM, Helverson JM. Sensory char-acteristics of beverages prepared with commercial thickeners used for dysphagia diets. J Am Diet Assoc. 2006;106:1049–54.
16. Garcia JM, Chambers E, Matta Z, Clark M. Viscosity measure-ments of nectar- and honey-thick liquids: product, liquid, and time comparisons. Dysphagia. 2005;20:325–35.
17. Cichero JA. Thickening agents used for dysphagia management: effect on bioavailability of water, medication and feelings of satiety. Nutr J. 2013;1(12):54.
18. Nita SP, Murith M, Chisholm H, Engmann J. Matching the rhe-ological properties of videofluoroscopic contrast agents and thickened liquid prescriptions. Dysphagia. 2013;28:245–52.
19. Leonard RJ, White C, McKenzie S, Belafsky PC. Effects of bolus rheology on aspiration in patients with dysphagia. J Acad Nutr Diet. 2014;114:590–4.
20. Rofes L, Arreola V, Clave´ P. The volume-viscosity swallow test for clinical screening of dysphagia and aspiration. Nestle Nutr Inst Workshop Ser. 2012;72:33–42.
21. Rosenbek J, Robbins J, Roecker E. A penetration-aspiration scale. Dysphagia. 1996;11:93–8.
22. Clave´ P, Arreola V, Romea M, Medina L, Palomera E, Serra-Prat M. Accuracy of the volume-viscosity swallow test for clinical screening of oropharyngeal dysphagia and aspiration. Clin Nutr. 2008;27:806–15.
23. The National Dysphagia Diet Task Force. National dysphagia diet: standardization for optimal care. Chicago: American Die-tetic Association; 2002.
24. Dooley CP, Schlossmacher B, Valenzuela JE. Effects of alter-ations in bolus viscosity on esophageal peristalsis in humans. Am J Physiol. 1988;254:G8–11.
25. Lazarus CL, Logemann JA, Rademaker AW, Kahrilas PJ, Pajak T, Lazar R, Halper A. Effects of bolus volume, viscosity, and repeated swallows in nonstroke subjects and stroke patients. Arch Phys Med Rehabil. 1993;74:1066–70.
26. Bisch EM, Logemann JA, Rademaker AW, Kahrilas PJ, Lazarus CL. Pharyngeal effects of bolus volume, viscosity, and temper-ature in patients with dysphagia resulting from neurologic impairment and in normal subjects. J Speech Hear Res. 1994;37:1041–9.
27. Hind JA, Gensler G, Brandt DK, Gardner PJ, Blumenthal L, Gramigna GD, Kosek S, Lundy D, McGarvey-Toler S, Rock-afellow S, Sullivan PA, Villa M, Gill GD, Lindblad AS, Loge-mann JA, Robbins J. Comparison of trained clinician ratings with expert ratings of aspiration on videofluoroscopic images from a randomized clinical trial. Dysphagia. 2009;24:211–7.
28. Kelly AM, Drinnan MJ, Leslie P. Assessing penetration and aspiration: how do videofluoroscopy and fiberoptic endoscopic evaluation of swallowing compare? Laryngoscope. 2007;117:1723–7.
29. Rofes L, Arreola V, Martin A, Clave´ P. Natural capsaicinoids improve swallow response in older patients with oropharyngeal dysphagia. Gut. 2013;62:1280–7.
30. Hind J, Divyak E, Zielinski J, Taylor A, Hartman M, Gangnon R, Robbins J. Comparison of standardized bariums with varying rheological parameters on swallowing kinematics in males. J Rehabil Res Dev. 2012;49:1399–404.
31. Perlman AL, Booth BM, Grayhack JP. Videofluoroscopic pre-dictors of aspiration in patients with oropharyngeal dysphagia. Dysphagia. 1994;9:90–5.
32. Aviv JE, Martin JH, Sacco RL, Zagar D, Diamond B, Keen MS, Blitzer A. Supraglottic and pharyngeal sensory abnormalities in stroke patients with dysphagia. Ann Otol Rhinol Laryngol. 1996;105:92–7.
33. Pelletier CA, Dhanaraj GE. The effect of taste and palatability on lingual swallowing pressure. Dysphagia. 2006;21:121–8.
34. Momosaki R, Abo M, Kobayashi K. Swallowing analysis for semisolid food texture in poststroke dysphagic patients. J Stroke Cerebrovasc Dis. 2013;22:267–70.
35. Leder SB, Judson BL, Sliwinski E, Madson L. Promoting safe swallowing when puree is swallowed without aspiration but thin liquid is aspirated: nectar is enough. Dysphagia. 2013;28:58–62.
36. Hamdy S, Jilani S, Price V, Parker C, Hall N, Power M. Modulation of human swallowing behaviour by thermal and chemical stimulation in health and after brain injury. Neurogas-troenterol Motil. 2003;15:69–77.
37. Goulding R, Bakheit AM. Evaluation of the benefits of moni-toring fluid thickness in the dietary management of dysphagic stroke patients. Clin Rehabil. 2000;14:119–24.
38. McGrail A, Kelchner LN. Adequate oral fluid intake in hospi-talized stroke patients: does viscosity matter? Rehabil Nurs. 2012;37:252–7.
39. Ebihara T, Ebihara S, Watando A, Okazaki T, Asada M, Ohrui T, Yamaya M, Arai H. Effects of menthol on the triggering of the swallowing reflex in elderly patients with dysphagia. Br J Clin Pharmacol. 2006;62:369–71.
40. Ebihara T, Ebihara S, Maruyama M, Kobayashi M, Itou A, Arai H, Sasaki H. A randomized trial of olfactory stimulation using black pepper oil in older people with swallowing dysfunction. J Am Geriatr Soc. 2006;54:1401–6.
41. Rofes L, Arreola V, Martin A, Clave´ P. Effect of oral piperine on the swallow response of patients with oropharyngeal dysphagia. J Gastroenterol. 2014;49:1517–23
N. Vilardell MSc
L. Rofes MSc, PhD
V. Arreola SLP
R. Speyer MSc, PhD
P. Clave´ MD, PhD
N. Vilardell1, L. Rofes2, V. Arreola1, R. Speyer3,4, P. Clave´1,2,3,5 Received: 16 December 2014 / Accepted: 11 November 2015 / Published online: 25 November 2015 © Springer Science+Business Media New York 2015 N. Vilardell natalia.vilardell@hotmail.com 1 Unitat d’Exploracions Funcionals Digestives, Department of Surgery, Hospital de Mataro´, Universitat Auto`no...